№ 368 Алгебра = № 13.37 Математика
Умова:
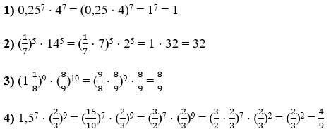
Обчисліть:
$1) \ 0{,}25^7 \cdot 4^7; \\$
$2) \ \left( \frac{1}{7} \right)^5 \cdot 14^5; \\$
$3) \ \left( 1 \frac{1}{8} \right)^9 \cdot \left( \frac{8}{9} \right)^{10}; \\$
$4) \ 1{,}5^7 \cdot \left( \frac{2}{3} \right)^9.$
Розв'язок:

