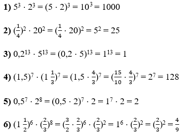
№ 367 Алгебра = № 13.36 Математика
Умова:
Знайдіть значення виразу:
$1) \ 5^3 \cdot 2^3; \\$
$2) \ \left( \frac{1}{4} \right)^2 \cdot 20^2; \\$
$3) \ 0{,}2^{13} \cdot 5^{13}; \\$
$4) \ (1{,}5)^7 \cdot \left( 1 \frac{1}{3} \right)^7; \\$
$5) \ 0{,}5^7 \cdot 2^8; \\$
$6) \ \left( 1 \frac{1}{2} \right)^6 \cdot \left( \frac{2}{3} \right)^8.$
Розв'язок:

