№ 365 Алгебра = № 13.34 Математика
Умова:
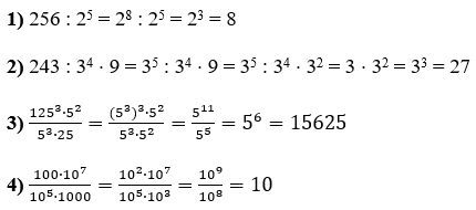
Обчисліть, використовуючи властивості степенів:
$
1) \ 256 : 2^5; \\
2) \ 243 : 3^4 \cdot 9; \\
3) \ \frac{125^3 \cdot 5^2}{5^3 \cdot 25}; \\
4) \ \frac{100 \cdot 10^7}{10^5 \cdot 1000}.
$
Розв'язок:

№ 365 Алгебра = № 13.34 Математика
Обчисліть, використовуючи властивості степенів:
$
1) \ 256 : 2^5; \\
2) \ 243 : 3^4 \cdot 9; \\
3) \ \frac{125^3 \cdot 5^2}{5^3 \cdot 25}; \\
4) \ \frac{100 \cdot 10^7}{10^5 \cdot 1000}.
$

