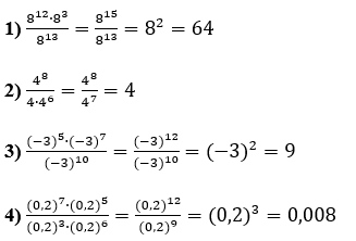
№ 351 Алгебра = № 13.20 Математика
Знайдіть значення виразу:
1) $\frac{8^{12} \cdot 8^3}{8^{13}}$;
2) $\frac{4^8}{4 \cdot 4^6}$;
3) $\frac{(-3)^5 \cdot (-3)^7}{(-3)^{10}}$;
4) $\frac{(0{,}2)^7 \cdot (0{,}2)^5}{(0{,}2)^3 \cdot (0{,}2)^6}$.
Розв'язок:

№ 351 Алгебра = № 13.20 Математика
1) $\frac{8^{12} \cdot 8^3}{8^{13}}$;
2) $\frac{4^8}{4 \cdot 4^6}$;
3) $\frac{(-3)^5 \cdot (-3)^7}{(-3)^{10}}$;
4) $\frac{(0{,}2)^7 \cdot (0{,}2)^5}{(0{,}2)^3 \cdot (0{,}2)^6}$.

