№ 350 Алгебра = № 13.19 Математика
Умова:
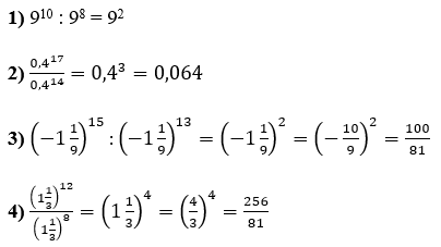
Обчисліть:
1) 910 : 98;
2) $\frac{0,4^{17}}{0,4^{14}}$;
3) $\left( -1\frac{1}{9} \right)^{15} : \left( -1\frac{1}{9} \right)^{13}$;
4) $\frac{\left( 1\frac{1}{3} \right)^{12}}{\left( 1\frac{1}{3} \right)^8}$.
Розв'язок:

