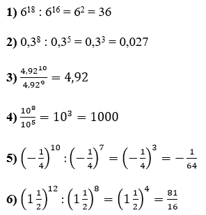
№ 349 Алгебра = № 13.18 Математика
Умова:
Знайдіть значення виразу:
1) 618 : 616;
2) 0,38 : 0,35;
3) $\frac{4,92^{10}}{4,92^9}$;
4) $\frac{10^8}{10^5}$;
5) $\left( -\frac{1}{4} \right)^{10} : \left( -\frac{1}{4} \right)^7$;
6) $\left( 1 \frac{1}{2} \right)^{12} : \left( 1 \frac{1}{2} \right)^8$.
Розв'язок:

