№ 352 Алгебра = № 13.21 Математика
Обчисліть:
$
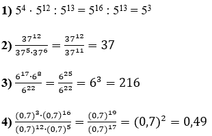
1) \ 5^4 \cdot 5^{12} : 5^{13}; \\
2) \ \frac{37^{12}}{37^5 \cdot 37^6}; \\
3) \ \frac{6^{17} \cdot 6^8}{6^{22}}; \\
4) \ \frac{(0{,}7)^3 \cdot (0{,}7)^{16}}{(0{,}7)^{12} \cdot (0{,}7)^5}.
$
Розв'язок:

№ 352 Алгебра = № 13.21 Математика
$
1) \ 5^4 \cdot 5^{12} : 5^{13}; \\
2) \ \frac{37^{12}}{37^5 \cdot 37^6}; \\
3) \ \frac{6^{17} \cdot 6^8}{6^{22}}; \\
4) \ \frac{(0{,}7)^3 \cdot (0{,}7)^{16}}{(0{,}7)^{12} \cdot (0{,}7)^5}.
$

