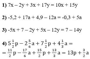
№ 152 Алгебра = № 2.49 Математика
Зведіть подібні доданки:
1) 7х – 2у + 3х + 17у
2) -5,2 + 17а + 4,9 – 12а
3) -5х + 7 – 2у + 5х – 12у
4) 5$\frac{1}{2}$p - 2$\frac{5}{6}$a + 7$\frac{1}{2}$p + 4$\frac{1}{3}$a.
Розв'язок:

Відповідь:
1) 10х + 15у;
2) 5а - 0,3;
3) 7 - 14у;
4) 13р + 1$\frac{1}{2}$a.
