№ 148 Алгебра = № 2.45 Математика
Умова:
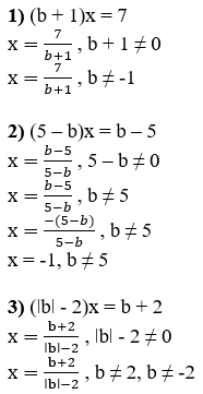
Розв’яжіть рівняння, де х – змінна.
1) (b + 1)x = 7;
2) (5 – b)x = b – 5;
3) (ǀbǀ - 2)x = b + 2.
Розв'язок:

Відповідь:
1) Якщо b = -1, то рівняння не має розв'язків;
якщо b ≠ -1, то х = $\frac{7}{b+1}$;
2) Якщо b = 5, то х - будь-яке число;
якщо b ≠ 5, то х = -1;
3) Якщо b = 2, то рівняння не має розв'язків;
якщо b = -2, то х - будь-яке число;
якщо b ≠ 2, b ≠ -2, то х = $\frac{b+2}{\left|b\right|-2}$.
