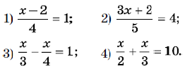
§ 2. Лінійне рівняння з однією змінною № 104 - 158 Завдання № 118 № 118 Алгебра = № 2.15 Математика Умова: Розв’яжіть рівняння: Розв'язок: Відповідь: 1) х = 6;2) х = 6;3) х = 12;4) х = 12. Завдання № 117 Завдання № 117 Завдання № 119 Завдання № 119