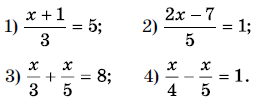
§ 2. Лінійне рівняння з однією змінною № 104 - 158 Завдання № 117 № 117 Алгебра = № 2.14 Математика Умова: Розв’яжіть рівняння: Розв'язок: Відповідь: 1) х = 14;2) х = 6;3) х = 15;4) х = 20. Завдання № 116 Завдання № 116 Завдання № 118 Завдання № 118