№ 108 Алгебра = № 2.5 Математика
Умова:
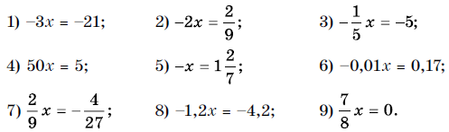
Розв’яжіть рівняння:
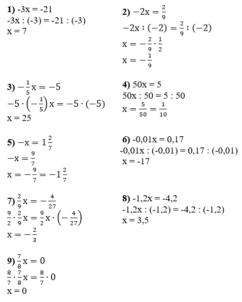
Розв'язок:

Відповідь:
1) 7;
2) -$\frac{1}{9}$;
3) 25;
4) $\frac{1}{10}$;
5) -$1\frac{2}{7}$;
6) -17;
7) -$\frac{2}{3}$;
8) 3,5;
9) 0.
№ 108 Алгебра = № 2.5 Математика
Розв’яжіть рівняння:

1) 7;
2) -$\frac{1}{9}$;
3) 25;
4) $\frac{1}{10}$;
5) -$1\frac{2}{7}$;
6) -17;
7) -$\frac{2}{3}$;
8) 3,5;
9) 0.
