№ 109 Алгебра = № 2.6 Математика
Умова:
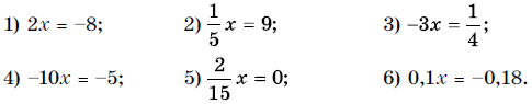
Знайдіть корінь рівняння:
Розв'язок:

Відповідь:
1) -4;
2) 45;
3) -$\frac{1}{12}$;
4) $\frac{1}{2}$;
5) 0;
6) -1,8.
№ 109 Алгебра = № 2.6 Математика
Знайдіть корінь рівняння:

1) -4;
2) 45;
3) -$\frac{1}{12}$;
4) $\frac{1}{2}$;
5) 0;
6) -1,8.
