№ 107 Алгебра = № 2.4 Математика
Розв’яжіть рівняння:
1) -2х = -12
2) 0,5х = -2,5
3) -2,5х = 7,5
4) $\frac{1}{5}x = \frac{3}{10}$
5) $\frac{4}{7}x = 1$
6) -5х = -12
Розв'язок:

Відповідь:
1) 6;
2) -5;
3) -3;
4) 1,5;
5) 1,75;
6) 2,4.
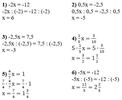
№ 107 Алгебра = № 2.4 Математика
1) -2х = -12
2) 0,5х = -2,5
3) -2,5х = 7,5
4) $\frac{1}{5}x = \frac{3}{10}$
5) $\frac{4}{7}x = 1$
6) -5х = -12

1) 6;
2) -5;
3) -3;
4) 1,5;
5) 1,75;
6) 2,4.
