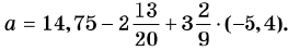
Повторюємо математику за 5-6 класи № 1 - 83 Завдання № 78 № 78 Алгебра = № 78 Математика Умова: Знайдіть значення виразу а², якщо Розв'язок: Відповідь: а2 = 28,09 Завдання № 77 Завдання № 77 Завдання № 79 Завдання № 79