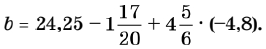
Повторюємо математику за 5-6 класи № 1 - 83 Завдання № 79 № 79 Алгебра = № 79 Математика Умова: Знайдіть значення виразу b³, якщо Розв'язок: Відповідь: b3 = -0,512 Завдання № 78 Завдання № 78 Завдання № 80 Завдання № 80