Повідомити про помилку
* - Обов'язкові поля
Відправити
ГДЗ 7 клас Істер 2024 (Алгебра, Геометрія, Математика)
  1. ГДЗІстер7
  2. Алгебра
  3. Повторення
  4. 71
Повторюємо математику за 5-6 класи № 1 - 83

Завдання № 71

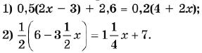
№ 71 Алгебра

Розв’яжіть рівняння:

Завдання № 71 Алгебра

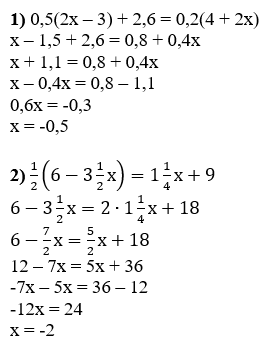
Розв'язок:

Відповідь до завдання № 71 Алгебра

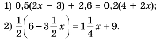
№ 71 Математика

Завдання № 71 Математика

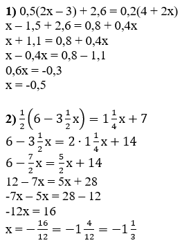
Розв'язок:

Відповідь до завдання № 71 Математика

  • Завдання № 70 Завдання № 70
  • Завдання № 72 Завдання № 72
Повідомити про помилку
© 2026 GDZIster.net
  • Головна
  • Алгебра
    • Повторення
    • Розділ 1
      • § 1. Загальні відомості
      • § 2. Лінійне рівняння
      • § 3. Розв’язування задач
      • ДСР № 1
      • Завдання для перевірки §§ 1-3
      • Вправи для повторення розділу 1
    • Розділ 2
      • § 4. Вирази зі змінними
      • § 5. Тотожні вирази
      • § 6. Степінь
      • § 7. Властивості степеня
      • § 8. Одночлен
      • § 9. Множення одночленів
      • ДСР № 2
      • Завдання для перевірки §§ 4-9
      • § 10. Многочлен
      • § 11. Додавання і віднімання
      • § 12. Множення одночлена
      • § 13. Розкладання многочлена
      • § 14. Множення многочлена
      • § 15. Розкладання многочлена
      • ДСР № 3
      • Завдання для перевірки §§ 10-15
      • § 16. Квадрат суми
      • § 17. Розкладання многочленів
      • § 18. Множення різниці
      • § 19. Розкладання на множники
      • § 20. Сума і різниця кубів
      • § 21. Застосування кількох
      • ДСР № 4
      • Завдання для перевірки §§ 16-21
      • Вправи для повторення розділу 2
    • Розділ 3
      • § 22. Функція
      • § 23. Графік функції
      • § 24. Лінійна функція
      • ДСР № 5
      • Завдання для перевірки §§ 22-24
      • Вправи для повторення розділу 3
    • Розділ 4
      • § 25. Лінійне рівняння
      • § 26. Графік
      • § 27. Система
      • § 28. Розв’язування підстановкою
      • § 29. Розв’язування додаванням
      • § 30. Розв’язування задач
      • ДСР № 6
      • Завдання для перевірки §§ 25-30
      • Вправи для повторення розділу 4
    • Завдання для перевірки за 7 клас
    • Задачі підвищеної складності
  • Геометрія
    • Розділ 1
      • § 1. Геометричні фігури
      • § 2. Відрізок
      • § 3. Кут
      • Вправи для повторення розділу 1
    • Розділ 2
      • § 5. Суміжні кути
      • § 6. Вертикальні кути
      • ДСР № 1
      • Завдання для перевірки до §§ 1-6
      • § 7. Перпендикулярні прямі
      • § 8. Паралельні прямі
      • § 9. Кути
      • § 10. Властивість паралельних
      • ДСР № 2
      • Завдання для перевірки до §§ 7-10
      • Вправи для повторення розділу 2
    • Розділ 3
      • § 11. Трикутник
      • § 12. Рівність
      • § 13. Перша та друга ознаки
      • § 14. Рівнобедрений трикутник
      • § 15. Медіана, бісектриса
      • § 16. Третя ознака
      • ДСР № 3
      • Завдання для перевірки до §§ 11-16
      • § 17. Сума кутів
      • § 18. Зовнішній кут
      • § 19. Прямокутні трикутники
      • § 20. Нерівність трикутника
      • ДСР № 4
      • Завдання для перевірки до §§ 17-20
      • Вправи для повторення розділу 3
    • Розділ 4
      • § 21. Коло і круг
      • § 22. Дотична до кола
      • § 23. Коло, вписане
      • § 24. Коло, описане
      • § 25. Центральні та вписані
      • § 26. Взаємне розміщення
      • § 27. Основні задачі
      • ДСР № 5
      • Завдання для перевірки до §§ 21-27
      • Вправи для повторення розділу 4
    • Завдання для перевірки за 7 клас
    • Задачі підвищеної складності
    • Додаткові теми
  • Математика
    • Частина 1
      • Узагальнення
      • Тема 1
        • § 1. Загальні відомості
        • § 2. Лінійне рівняння
        • § 3. Розв’язування задач
        • ДСР № 1
        • Завдання для перевірки до §§ 1-3
        • Вправи для повторення теми 1
      • Тема 2
        • § 4. Геометричні фігури
        • § 5. Відрізок
        • § 6. Кут
        • § 8. Суміжні кути
        • § 9. Вертикальні кути
        • ДСР № 2
        • Завдання для перевірки до §§ 4-9
        • Вправи для повторення теми 2
      • Тема 3
        • § 10. Вирази зі змінними
        • § 11. Тотожні вирази
        • § 12. Степінь
        • § 13. Властивості степеня
        • § 14. Одночлен
        • § 15. Множення одночленів
        • ДСР № 3
        • Завдання для перевірки до §§ 10-15
        • Вправи для повторення теми 3
      • Тема 4
        • § 16. Перпендикулярні прямі
        • § 17. Паралельні прямі
        • § 18. Кути
        • § 19. Властивість
        • ДСР № 4
        • Завдання для перевірки до §§ 16-19
        • Вправи для повторення теми 4
      • Тема 5
        • § 20. Многочлен
        • § 21. Додавання і віднімання
        • § 22. Множення одночлена
        • § 23. Розкладання многочлена
        • § 24. Множення многочлена
        • § 25. Розкладання многочлена
        • ДСР № 5
        • Завдання для перевірки до §§ 20-25
        • Вправи для повторення теми 5
      • Тема 6
        • § 26. Трикутник
        • § 27. Рівність
        • § 28. Перша та друга
        • § 29. Рівнобедрений трикутник
        • § 30. Медіана, бісектриса
        • § 31. Третя ознака
        • ДСР № 6
        • Завдання для перевірки до §§ 26-31
        • Вправи для повторення теми 6
    • Частина 2
      • Тема 7
        • § 32. Квадрат суми
        • § 33. Розкладання многочленів
        • § 34. Множення різниці
        • § 35. Розкладання на множники
        • § 36. Сума і різниця кубів
        • § 37. Застосування кількох
        • ДСР № 7
        • Завдання для перевірки до §§ 32-37
        • Вправи для повторення теми 7
      • Тема 8
        • § 38. Сума кутів трикутника
        • § 39. Зовнішній кут
        • § 40. Прямокутні трикутники
        • § 41. Нерівність трикутника
        • ДСР № 8
        • Завдання для перевірки до §§ 38-41
        • Вправи для повторення теми 8
      • Тема 9
        • § 42. Функція
        • § 43. Графік функції
        • § 44. Лінійна функція
        • ДСР № 9
        • Завдання для перевірки до §§ 42-44
        • Вправи для повторення теми 9
      • Тема 10. КОЛО І КРУГ
        • § 45. Коло і круг
        • § 46. Дотична до кола
        • § 47. Коло, вписане
        • § 48. Коло, описане
        • § 49. Центральні
        • § 50. Взаємне розміщення
        • § 51. Основні задачі
        • ДСР № 10
        • Завдання для перевірки до §§ 45-51
        • Вправи для повторення теми 10
      • Тема 11. СИСТЕМИ
        • § 52. Лінійне рівняння
        • § 53. Графік
        • § 54. Система двох
        • § 55. Розв’язування систем
        • § 56. Розв’язування систем
        • § 57. Розв’язування задач
        • ДСР № 11
        • Завдання для перевірки до §§ 52-57
        • Вправи для повторення теми 11
      • Завдання для перевірки за 7 клас
      • Задачі з алгебри
      • Задачі з геометрії
      • Додаткові теми
  • С та ДР з Алгебри
    • С-1 [1М]
    • С-2 [2М]
    • ДР-1 [1М]
    • С-3 [5М]
    • С-4 [6М]
    • ДР-2 [3М]
    • С-5 [9М]
    • КР за Ⅰ семестр
    • С-6 [10М]
    • ДР-3 [5М]
    • С-7 [13М]
    • С-8 [14М]
    • ДР-4 [7М]
    • С-9 [17М]
    • ДР-5 [9М]
    • С-10 [20М]
    • С-11 [21М]
    • ДР-6 [11М]
    • КР за Ⅱ семестр
    • РКР за 7 клас
  • С та ДР з Геометрії
    • С-1 [3М]
    • С-2 [4М]
    • ДР-1 [2М]
    • С-3 [7М]
    • С-4 [8М]
    • ДР-2 [4М]
    • С-5 [11М]
    • КР за Ⅰ семетр
    • С-6 [12М]
    • ДР-3 [6М]
    • С-7 [15М]
    • С-8 [16М]
    • ДР-4 [8М]
    • С-9 [18М]
    • С-10 [19М]
    • ДР-5 [10М]
    • КР за Ⅱ семестр
    • РКР за 7 клас
    • РКР за 7 клас [М]