№ 370 Алгебра = № 13.39 Математика
Умова:
Знайдіть значення виразу:
$
1) \ \frac{5^7 \cdot 7^8}{35^7}; \\
2) \ \frac{2^{17} \cdot 3^6}{24^5}; \\
3) \ \frac{36^7}{2^{12} \cdot 3^{10}}; \\
4) \ \frac{27^3}{18^4}.
$
Розв'язок:

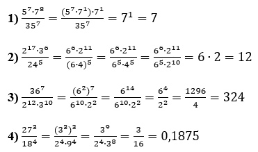
№ 370 Алгебра = № 13.39 Математика
Знайдіть значення виразу:
$
1) \ \frac{5^7 \cdot 7^8}{35^7}; \\
2) \ \frac{2^{17} \cdot 3^6}{24^5}; \\
3) \ \frac{36^7}{2^{12} \cdot 3^{10}}; \\
4) \ \frac{27^3}{18^4}.
$

