№ 316 Алгебра = № 12.19 Математика
Умова:
Подайте числа:
1) 0; 4; 0,16; $\frac{9}{25}$; 169; 1$\frac{24}{25}$ у вигляді квадрата;
2) 64; –27; 0; 1; –$\frac{1}{8}$; 1$\frac{91}{125}$ у вигляді куба.
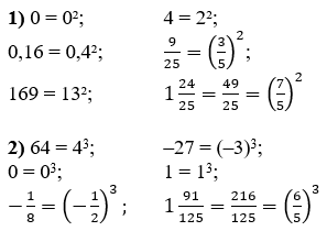
Розв'язок:

№ 316 Алгебра = № 12.19 Математика
Подайте числа:
1) 0; 4; 0,16; $\frac{9}{25}$; 169; 1$\frac{24}{25}$ у вигляді квадрата;
2) 64; –27; 0; 1; –$\frac{1}{8}$; 1$\frac{91}{125}$ у вигляді куба.

