№ 301 Алгебра = № 12.4 Математика
Умова:
Запишіть степінь у вигляді добутку однакових множників:
1) 75;
2) b3;
3) (x – y)²;
4) $\left( \frac{a}{a+b} \right)^{4}$.
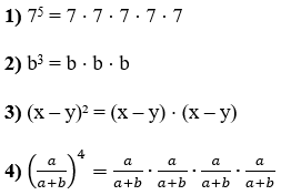
Розв'язок:

№ 301 Алгебра = № 12.4 Математика
Запишіть степінь у вигляді добутку однакових множників:
1) 75;
2) b3;
3) (x – y)²;
4) $\left( \frac{a}{a+b} \right)^{4}$.

