№ 124 Алгебра = № 2.21 Математика
Умова:
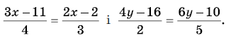
Розв’яжіть рівняння
Знайдіть добуток 10ху та дізнаєтеся рік заснування Чернівецького національного університету імені Юрія Федьковича.
Розв'язок:

Відповідь:
1875 рік.
№ 124 Алгебра = № 2.21 Математика
Розв’яжіть рівняння
Знайдіть добуток 10ху та дізнаєтеся рік заснування Чернівецького національного університету імені Юрія Федьковича.

1875 рік.
