№ 48 Алгебра = № 48 Математика
Умова:
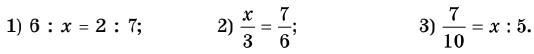
Знайдіть невідомий член пропорції:
Розв'язок:

Відповідь:
1) х = 21;
2) х = $3\frac{1}{2}$;
3) х = $3\frac{1}{2}$.
№ 48 Алгебра = № 48 Математика
Знайдіть невідомий член пропорції:

1) х = 21;
2) х = $3\frac{1}{2}$;
3) х = $3\frac{1}{2}$.
