№ 373 Алгебра = № 13.42 Математика
Умова:
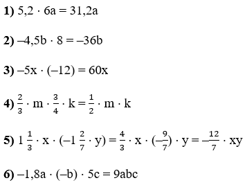
Спростіть вираз:
$1) \ 5{,}2 \cdot 6a; \\$
$2) \ -4{,}5b \cdot 8; \\$
$3) \ -5x \cdot (-12); \\$
$4) \ \frac{2}{3}m \cdot \frac{3}{4}k; \\$
$5) \ \frac{1}{3}x \cdot \left( -1 \frac{2}{7}y \right); \\$
$6) \ -1{,}8a \cdot (-b) \cdot 5c.$
Розв'язок:

