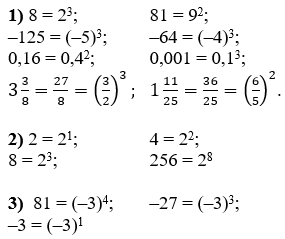
№ 318 Алгебра = № 12.21 Математика
Умова:
Подайте:
1) 8; 81; –125; –64; 0,16; 0,001; 3$\frac{3}{8}$; 1$\frac{11}{25}$ у вигляді квадрата або куба числа;
2) 2; 4; 8; 256 у вигляді степеня з основою 2;
3) 81; –27; –3 у вигляді степеня з основою –3.
Розв'язок:

