№ 306 Алгебра = № 12.9 Математика
Умова:
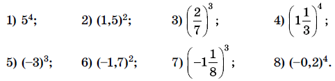
Виконайте піднесення до степеня:
Розв'язок:
$1) \ 5^4 = 5 \cdot 5 \cdot 5 \cdot 5 = 625; \\$
$2) \ (1{,}5)^2 = 1{,}5 \cdot 1{,}5 = 2{,}25; \\$
$3) \ \left( \frac{2}{7} \right)^3 = \frac{2}{7} \cdot \frac{2}{7} \cdot \frac{2}{7} = \frac{8}{343}; \\$
$4) \ \left( 1 \frac{1}{3} \right)^4 = \left( \frac{4}{3} \right)^4 = \frac{4 \cdot 4 \cdot 4 \cdot 4}{3 \cdot 3 \cdot 3 \cdot 3} = \frac{256}{81} = 3 \frac{13}{81}; \\$
$5) \ (-3)^3 = (-3) \cdot (-3) \cdot (-3) = -27; \\$
$6) \ (-1{,}7)^2 = -1{,}7 \cdot (-1{,}7) = 2{,}89; \\$
$7) \ \left( -1\frac{1}{8} \right)^3 = \left( -\frac{9}{8} \right)^3 = \left( -\frac{9}{8} \right) \cdot \left( -\frac{9}{8} \right) \cdot \left( -\frac{9}{8} \right) = -\frac{729}{512} = -1 \frac{217}{512}; \\$
$8) \ (-0{,}2)^4 = (-0{,}2) \cdot (-0{,}2) \cdot (-0{,}2) \cdot (-0{,}2) = 0{,}0016.$
