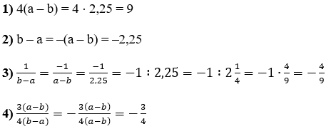
§ 4. Вирази зі змінними. Цілі раціональні вирази. Числове значення виразу № 231 - 263 Завдання № 254 № 254 Алгебра = № 10.24 Математика Для деяких значень a і b значення виразу a – b дорівнює 2,25. Якого значення для тих самих значень a і b набуває вираз: Розв'язок: Завдання № 253 Завдання № 253 Завдання № 255 Завдання № 255