№ 40 Алгебра = № 40 Математика
Умова:
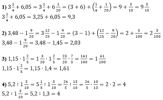
Обчисліть двома способами (перетворивши десятковий дріб у мішане число або перетворивши мішане число у десятковий дріб):
Розв'язок:

№ 40 Алгебра = № 40 Математика
Обчисліть двома способами (перетворивши десятковий дріб у мішане число або перетворивши мішане число у десятковий дріб):

